Exoplanet-style transit light curve of Venus from James Gilbert on Vimeo.
The best options are those around bright stars, like 55 Cancri e - subject of 367 papers in the last decade!

Their frequencies tell us about stellar interior structure.
Power spectrum of the Sun's 5-minute oscillations
but the pixels have different gains ("inter- and intra-pixel sensitivity variation")...
and the pixel window doesn't necessarily track the whole PSF perfectly ("aperture losses").
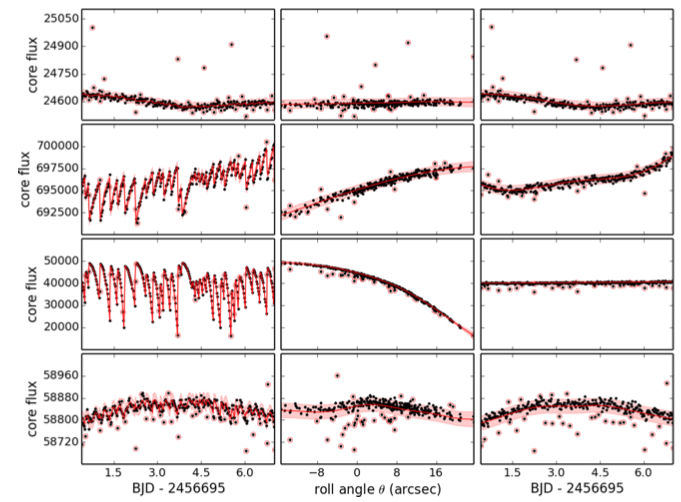
Raw - GP in position - GP in time
By subtracting the GP time and spatial components, we can find a transiting planet!
We will be motivated by this here.
\[\begin{align} TV \equiv \dfrac{\sum_i |f_i - f_{i-1}|} {\sum_i f_i } \end{align} \]
This is the L1 norm on the derivative of the time series.
This has analytic derivatives in Theano - easy to optimize.
But they're sparse in the Fourier domain... perhaps this is relevant?
Πλειάδες, the Seven Sisters
Alcyone, Atlas (dad), Electra, Maia, Merope, Taygeta, Pleione (mum)
Atlas lightcurve: raw (top) and halo (bottom)
Lightcurves of All Seven Bright Pleiades
I am currently searching all bright stars in K2 for transiting planets - none so far, but plenty of asteroseismology!
We need your help to be able to understand and improve photometry tools.