Modelling Cosmic Radiation Events

in the Tree-Ring Radiocarbon Record

Benjamin Pope, UQ

Slides available at

benjaminpope.github.io/talks/flinders/flinders.html

UQ Students Jordan Dennis, Qingyuan Zhang, Utkarsh Sharma

Miyake Events

Tree rings give a "calibration curve" history of radiocarbon in the atmosphere

Miyake Figure

774-775 AD

Miyake Figure

Miyake et al, 2012

Anglo-Saxon Chronicle: 774 AD

“This year also appeared in the heavens a red crucifix, after sunset; the Mercians and the men of Kent fought at Otford; and wonderful serpents were seen in the land of the South-Saxons.”

Allen, 2012

Also in 993-994 AD

Miyake Figure

Miyake et al, 2013

Four more now known:

660 BC, 5259 BC, 5410 BC, 7176 BC

Vikings in North America!

Leif Eriksson, 'Leif the Lucky' from Iceland, landed in Vínland far to the West around 1000 AD.

Was this North America? Ruins at L'Anse aux Meadows in Newfoundland consistent with this!

NYT Headline

Dated to 1021 CE by tree rings containing the 993 event!

Kuitems et al, 2021

So what is the physics?

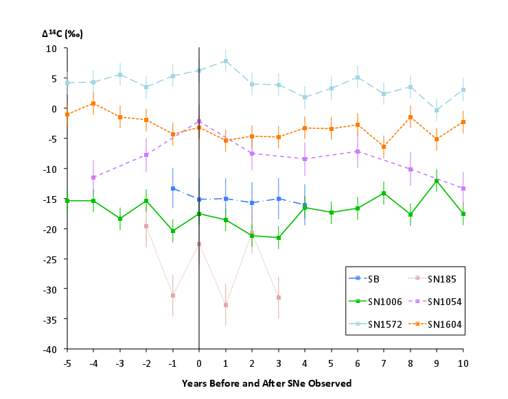
Supernovae?

No!

Dee Figure

Dee, Pope et al., 2016a

Magnetars?

Wang et al, 2019

Connection to fast radio bursts?

magnetar burst bochenek

Bochenek et al, 2020

The Sun

Carrington Event

Aurora

F.E. Church, "Aurora Borealis", 1865.

Superflares in Kepler

Maehara Figure

Maehara et al., 2012

Our Work

To model these time series, you have to model the entire global carbon cycle!

carbon cycle diagram

Carbon 'box models' with systems of transport equations between carbon reservoirs

(eg Güttler et al, 2015 model)

guttler model diagram

The problem is, none of the work in the field is reproducible! All these carbon box models are closed-source.

But we want to do astrophysics - infer event amplitudes, durations...

Built open-source Python package

sharmallama.github.io/ticktack

Features:

  • Literature carbon box models
  • Built on Google Jax for autodiff + speed
  • Multiple, fast (~10ms) numerical and analytic ODE solvers
  • Nonparametric inverse solvers, using GPs or an exact ODE inverse
  • MCMC and Nested Sampling support for Bayesian parameter inference
Zhang et al 2022: arXiv:2210.13775

Example Posterior Draws

posterior samples

Example Posterior Distribution

corner plot

Uusitalo et al, 2018 claim trend with latitude

trend with latitude

With more data we find no trend

our trend with latitude

Amplitude of the events - equivalent years

amplitudes

Relation to the solar cycle

solar cycle

Long duration?

durations

Questions!